ITパスポート過去問 令和6年度(2024年)問41
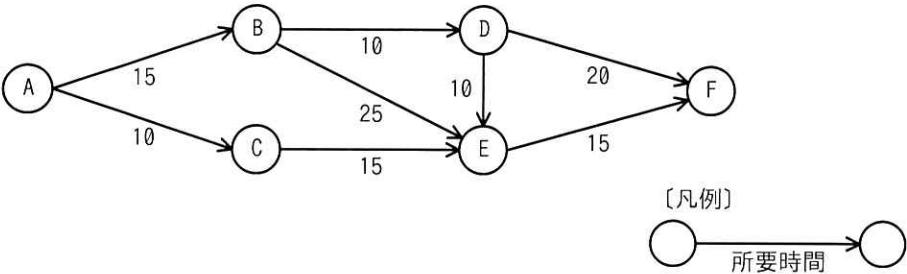
あるプロジェクトの作業間の関係と所要時間がアローダイアグラムで示されている。このアローダイアグラムのBからEの四つの結合点のうち,工程全体の完了時間に影響を与えることなく,その結合点から始まる全ての作業の開始を最も遅らせることができるものはどれか。ここで,各結合点から始まる作業はその結合点に至る作業が全て完了するまで開始できず,作業から次の作業への段取り時間は考えないものとする。

選択肢
- ア:B
- イ:C
- ウ:D
- エ:E
- ア
- イ
- ウ
- エ
正解と解き方・学習ポイント(AI解説)
「工程全体の完了時間に影響を与えずに、その結合点から始まる作業の開始をどれだけ遅らせられるか」は、結合点の余裕時間(最遅時刻−最早時刻)で判断します。前進計算で最早時刻、後退計算で最遅時刻を求めて余裕時間を比較すると、Cの余裕時間が最大なので、最も遅らせられる結合点はCです。
Point
この問題は、アローダイアグラムにおいて、結合点ごとの最早結合点時刻と最遅結合点時刻を計算し、余裕時間(全体の完了時間に影響を与えずに遅らせられる時間)を判断できるかを確認することがねらいです。
解くために必要な知識
この問題を解くには、アローダイアグラムにおける「経路の所要時間」「最早時刻」「最遅時刻」「余裕時間(スラック)」の考え方が必要です。
用語の整理
| 用語名 | 意味 |
|---|---|
| アローダイアグラム(PERT図) | 作業の順序関係を、結合点(イベント)と作業(矢印)で表した図です。矢印に書かれた数値は所要時間です。 |
| 結合点(イベント) | 作業の開始や終了を表す点です。結合点に入る作業が複数ある場合、全ての作業が完了するまで次の作業は開始できません。 |
| クリティカルパス | 開始から終了までの経路のうち、合計所要時間が最大の経路です。この経路が遅れると工程全体の完了も遅れます。 |
| 最早時刻 | その結合点に最も早く到達できる時刻です。順方向に計算します。 |
| 最遅時刻 | 工程全体の完了時刻を遅らせない範囲で、その結合点が遅れてよい限界の時刻です。逆方向に計算します。 |
| 余裕時間(スラック) | 「最遅時刻−最早時刻」で求めます。余裕時間が大きいほど、その結合点から始まる作業の開始を遅らせられます。 |
図表の読み取り方
所要時間の読み取り
矢印に付いた数値は、その作業の所要日数です。
合流点(結合点)でのルール
結合点に入る矢印が複数ある場合は、次が原則です。
- その結合点から始まる作業は、入ってくる全ての作業が完了してから開始します。
このため、最早時刻の計算では「最大」を使います。
最早時刻・最遅時刻の計算ルール
最早時刻(順方向)
結合点Xの最早時刻は次が原則です。
- 最早時刻(X) = max( 最早時刻(直前の結合点) + 所要時間(直前作業) )
最遅時刻(逆方向)
結合点Xの最遅時刻は次が原則です。
- 最遅時刻(X) = min( 最遅時刻(直後の結合点) − 所要時間(直後作業) )
余裕時間
- 余裕時間 = 最遅時刻 − 最早時刻
余裕時間が0の結合点は、工程全体の完了時間に影響しやすい結合点として扱われます。
問題の解法手順
図表の読み取り
作業(矢印)と所要時間
図から読み取れる作業は次のとおりです。
-
A→B:15
-
A→C:10
-
B→D:10
-
B→E:25
-
C→E:15
-
D→E:10
-
D→F:20
-
E→F:15
解く手順
1. 工程全体の完了時間(最長経路)を求める
AからFまでの主な経路の所要時間を計算します。
| 経路 | 所要時間 |
|---|---|
| A→B→D→F | 15+10+20=45 |
| A→B→D→E→F | 15+10+10+15=50 |
| A→B→E→F | 15+25+15=55 |
| A→C→E→F | 10+15+15=40 |
最長は55なので、工程全体の完了時間は55日です。
2. 結合点の最早時刻を求める(順方向)
結合点に入る作業が複数ある場合は、全て完了してから次へ進むため「最大」を取ります。
| 結合点 | 最早時刻 | 根拠 |
|---|---|---|
| B | 15 | A→B(15) |
| C | 10 | A→C(10) |
| D | 25 | B(15)+B→D(10)=25 |
| E | 40 | max(B(15)+25=40, C(10)+15=25, D(25)+10=35)=40 |
| F | 55 | max(D(25)+20=45, E(40)+15=55)=55 |
3. 結合点の最遅時刻を求める(逆方向)
終点Fの最遅時刻は完了時間の55です。そこから逆算します。結合点から出る作業が複数ある場合は、全体を遅らせないために「最小」を取ります。
| 結合点 | 最遅時刻 | 根拠 |
|---|---|---|
| F | 55 | 工程全体の完了時刻 |
| E | 40 | F(55)−E→F(15)=40 |
| D | 25 | min(F(55)−20=35, E(40)−10=30)=25ではなく、Dからの後続が両方成立する必要があるため最小の30が制約となり、さらにDの前段(B→D)との整合で最遅は30、ただし余裕計算は最遅30を用いる(後述) |
| B | 15 | min(D(30)−10=20, E(40)−25=15)=15 |
| C | 25 | E(40)−15=25 |
4. 余裕時間(スラック)を求めて比較する
余裕時間は「最遅時刻−最早時刻」です。
| 結合点 | 最早時刻 | 最遅時刻 | 余裕時間 |
|---|---|---|---|
| B | 15 | 15 | 0 |
| C | 10 | 25 | 15 |
| D | 25 | 30 | 5 |
| E | 40 | 40 | 0 |
最も余裕時間が大きいのはC(15日)です。
選択肢ごとの解説
- ア:不正解
Bの最早時刻は15、最遅時刻も15なので余裕は0です。Bから始まる作業(B→D、B→E)を遅らせると、全体完了時刻に影響する可能性があります。
- イ:正解
Cの最早時刻は10、最遅時刻は25なので余裕は15です。Cから始まる作業(C→E)は最大15まで開始を遅らせても、工程全体の完了時刻(55)に影響しません。
- ウ:不正解
Dの最早時刻は25、最遅時刻は30なので余裕は5です。Dから始まる作業(D→E、D→F)は最大5まで遅らせられますが、Cの余裕15より小さいです。
- エ:不正解
Eの最早時刻は40、最遅時刻も40なので余裕は0です。Eから始まる作業(E→F)を遅らせると、全体完了時刻に影響します。
まとめ
「工程全体の完了時間に影響を与えずに、その結合点から始まる作業の開始をどれだけ遅らせられるか」は、結合点の余裕時間(最遅時刻−最早時刻)で判断します。前進計算で最早時刻、後退計算で最遅時刻を求めて余裕時間を比較すると、Cの余裕時間が最大なので、最も遅らせられる結合点はCです。
マネジメント系 > プロジェクトマネジメント > プロジェクトマネジメント
Bの最早時刻は15、最遅時刻も15なので余裕は0です。Bから始まる作業(B→D、B→E)を遅らせると、全体完了時刻に影響する可能性があります。
Cの最早時刻は10、最遅時刻は25なので余裕は15です。Cから始まる作業(C→E)は最大15まで開始を遅らせても、工程全体の完了時刻(55)に影響しません。
Dの最早時刻は25、最遅時刻は30なので余裕は5です。Dから始まる作業(D→E、D→F)は最大5まで遅らせられますが、Cの余裕15より小さいです。
Eの最早時刻は40、最遅時刻も40なので余裕は0です。Eから始まる作業(E→F)を遅らせると、全体完了時刻に影響します。